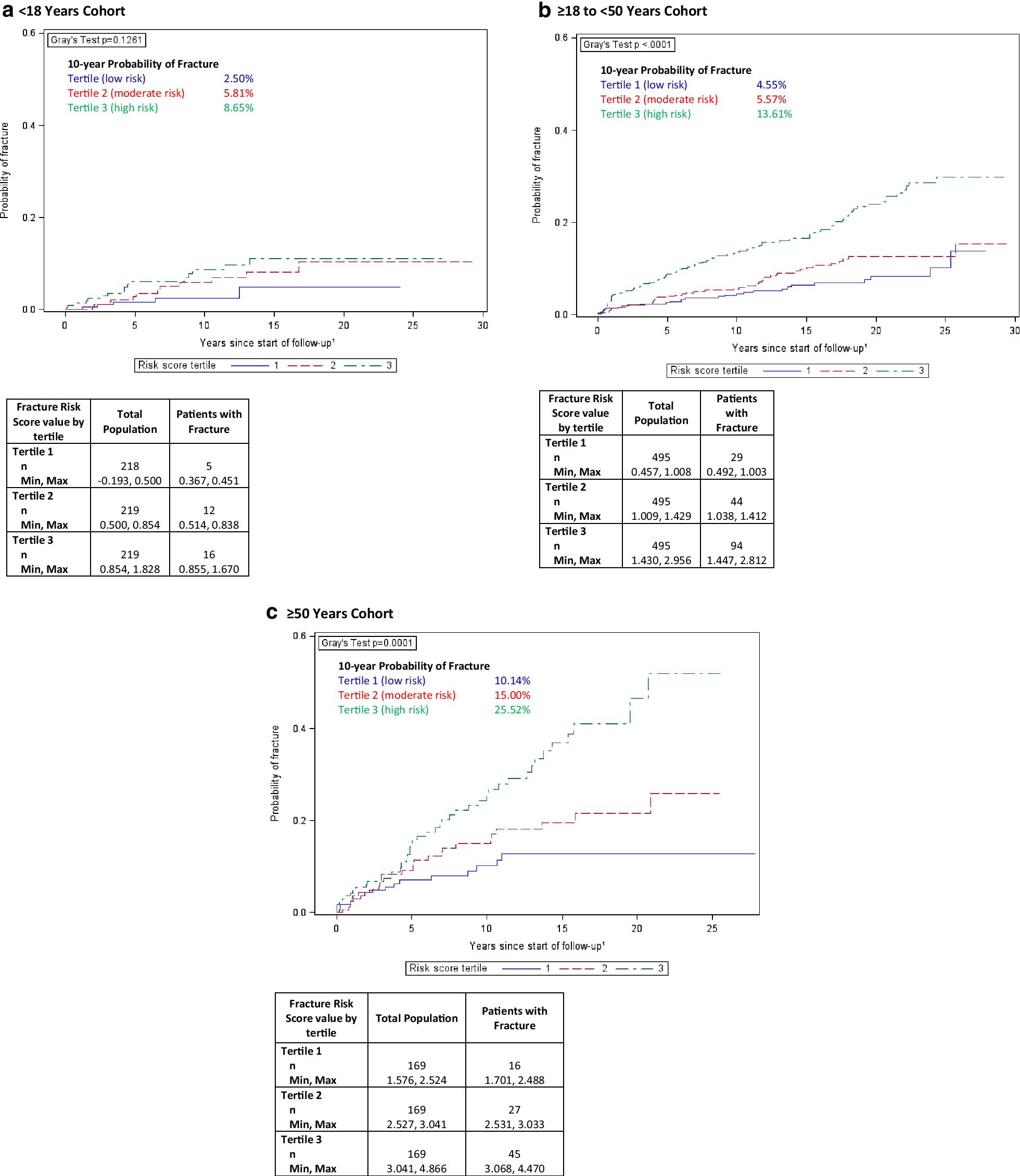
Fig. 2

Cumulative incidence of total fracture by tertile of Gaucher Risk Assessment for Fracture (GRAF) score and by age at treatment initiation (ATI) cohort. For each tertile of the risk score, the cumulative incidence function (CIF) is plotted for all types of fracture. The CIF indicates the probability of a patient experiencing any type of fracture over time. The p-value from Gray’s Test indicates whether there is a significant difference (alpha level of < 0.05) between the 3 curves overall. Panel A includes the CIFs for the < 18 years ATI cohort; panel B includes the CIFs for the ≥ 18 to < 50 years ATI cohort; panel C include the CIFs for the ≥ 50 years ATI cohort. Follow-up starts at age 18 years for patients < 18 years at treatment initiation, and at age of treatment initiation for patients ≥ 18 years. The maximum value for the y-axis has been truncated from 1.0 to 0.6 as none of the CIFs went above 0.6